LA METEOROLOGIA NELL’ERA DEI COMPLOTTI
Scritto da Andrea Corigliano – Fisico dell’Atmosfera
tratto da CENTROMETEO
È difficile, oggi, fare divulgazione scientifica in campo meteorologico. Non sto parlando del sensazionalismo che spesso inquina l’informazione e che trasforma tutto in «record» gonfiando a sproposito l’entità del fenomeno che cade sotto i riflettori per fare incetta di click e di introiti pubblicitari.
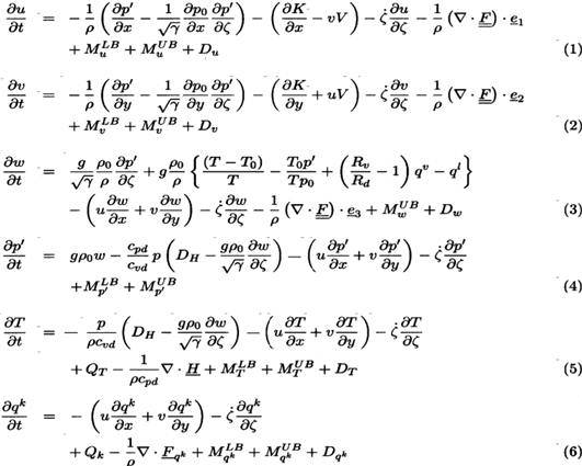
Sto parlando invece di un rifiuto, da parte di chi legge, di accettare che le vicissitudini del tempo rispondono a precise leggi della fisica dell’atmosfera che legano tra loro la meccanica dei fluidi e la termodinamica: d’altro canto, l’aria è un fluido che si muove nello spazio ed è soggetto a numerosi processi di scambio di calore, per cui è inevitabile che siano queste le branche della fisica a essere chiamate in causa per fornire dapprima una spiegazione scientifica sul come e sul perché un fenomeno atmosferico si forma e, in secondo tempo, per dire come esse sono legate tra di loro nelle equazioni fisico-matematiche che, una volta risolte, forniscono agli esperti i prodotti da analizzare in modo critico per arrivare a redigere una previsione meteorologica (fig. 1).
È sempre stato così, fin dai tempi in cui la meteorologia ha visto la luce e lo sviluppo della potenza di calcolo dei modelli numerici ha permesso che si potesse indagare sulla formazione dei fenomeni a scala sempre più ridotta per provare a cogliere, per esempio, l’evoluzione spazio-temporale di un sistema temporalesco con un grado di affidabilità certamente migliore rispetto a quanto non si potesse fare qualche decennio fa, quando questi limiti erano praticamente invalicabili e tentare previsioni di questo tipo significava letteralmente brancolare nel buio. L’ultimo esempio lampante che possiamo citare per fare osservare al lettore la bontà di un modello fisico-matematico è il confronto tra l’osservazione e la previsione relativa proprio agli effetti del passaggio delle ennesime condizioni di instabilità che stanno transitando sul Nord Italia (fig. 2): a sinistra, l’immagine radar delle ore 18 di oggi (12 giugno) ci permette di osservare la localizzazione delle precipitazioni e dei temporali in atto e la previsione da modello ad area limitata ci permette di avere una stima della localizzazione dei fenomeni per come questa situazione era stata calcolata questa mattina.

Direi che tutto sommato la previsione è risultata veritiera, partendo dal presupposto che un modello simula la realtà e che quindi non si arriverà mai – per tutte le ragioni che partono dal processo di assimilazione dei dati (il tempo che fa) per arrivare ai metodi di calcolo messi in atto per arrivare alla risoluzione delle equazioni stesse (il tempo che farà) – a fornire le tanto decantate previsioni «precise e affidabili»: «preciso» e «affidabile» sono due aggettivi che, insieme, accanto alla parola «previsione» non possono proprio starci perché stanno tra loro come il diavolo sta all’acqua santa. La bellezza della meteorologia e delle previsioni del tempo è tutto questo e molto altro: sta nella comprensione di quanto accade sopra la nostra testa mediante la creazione di un modello concettuale e nell’esprimere tramite il linguaggio della matematica i legami tra le variabili atmosferiche che stanno alla base dei principi fisici, provando ogni volta a spingersi un po’ più in là e oltre quel limite in cui la componente caotica che è insita nella dinamica atmosferica stessa annebbia l’orizzonte e ci costringe a fermarci, dicendoci che questa volta abbiamo osato troppo. Dicendoci che siamo andati troppo in là nel tempo cronologico per voler sapere cosa ci riserverà il tempo meteorologico nei prossimi giorni. Dicendoci che siamo voluti scendere troppo nei dettagli per sapere se il temporale si innescherà alle ore 15:00 o alle ore 17:00: ci sono cose che non si possono chiedere, per tutto il resto ci sono le app.
Scrivere questo articolo mi sta riempiendo di gioia mentre le dita scorrono sulla tastiera perché credo che permettere a chi non è del mestiere di capire quanto è bello il mondo che sta sopra di noi ci faccia sentire parte ancora più integrante di questo mondo. E allora, con l’animo impregnato di questa gioia, non posso che provare un po’ di dispiacere nel constatare che, nonostante la scienza fornisca spiegazioni più che esaustive per far comprendere i meccanismi di funzionamento di questa meravigliosa macchina atmosferica, non sono pochi coloro che vedono continue «stranezze» nei fenomeni che spesso si verificano: dai temporali violenti alle piogge intense, dai depositi di polveri sahariane attratti da una calamita alle grandinate o alle trombe d’aria. Fenomeni ritenuti artificiali, come se per crearli sia sufficiente spruzzare un po’ di ioduro di argento o chissà quale composto chimico per far sì che il fenomeno si formi come per magia. Ci siamo mai chiesti quali sono le energie in gioco in un fenomeno atmosferico? Giusto per avere un’idea, parliamo per esempio alle velocità ascendenti che in un violento temporale devono trattenere il più possibile, in quota, un chicco di grandine affinché si accresca per raggiungere le dimensioni di una pallina da tennis (fig. 3).

Ebbene, quando al suolo raccogliamo un chicco avente un diametro di circa 6.5 cm, vuol dire che quel chicco è stato trattenuto all’interno del cumulonembo da velocità ascendenti che hanno avuto velocità anche superiori ai 120 km/h per contrastare la forza di gravità. Velocità così intense sono una delle conseguenze della conversione in energia cinetica, cioè di movimento e quindi delle velocità di cui sopra, dell’energia potenziale che era a disposizione della massa d’aria come calore sensibile e latente, accumulati nei bassi strati dopo una fase calda o molto calda e liberati grazie alle condizioni instabili dell’atmosfera stessa. Un dato, questo, che testimonia come la forza dei fenomeni atmosferici estremi non si presta davvero a chissà quale teoria cospirazionista perché è semplicemente un problema di conversione di energia, in questo caso da potenziale a cinetica: anche questo ce lo dice la fisica e, se proprio vi interessa saperlo, sono concetti che si insegnano alle scuole superiori, al terzo anno.
Ricordo a tutti i nostri lettori che, su facebook, potete trovarmi anche alla pagina di Meteorologia Andrea Corigliano a questo link. Grazie e buona lettura!
Andrea Corigliano, fisico dell’atmosfera